一品楼qm论坛最新活动,深圳罗湖qm论坛紫兰轩论坛北京验证,一品楼品凤楼论坛官网,甘肃凤楼论坛最新消息新闻

灵科超声波

超声波的波形与声速:精准控制的科学密码

返回列表 来源: 发布日期: 2025.03.04

在超声波焊接机的轰鸣声中,一块产品的接合面在数秒内完成分子级融合 ——这一看似神奇的过程,实则是波形与声速精准调控的结果。

超声波的本质是机械振动能量的传递,其波形(如纵波、横波、表面波)决定了能量传递方向与作用形式,而声速(由介质密度与弹性模量共同决定)则直接关联加工效率与质量。

理解波形与声速的物理规律,不仅是掌握超声技术的基础,更是解锁高效、稳定、低能耗加工的关键钥匙。本文将为您解析这两大核心参数的底层逻辑,揭示它们如何从实验室公式转化为工业生产力。

超声波的波形和声速

超声波是机械波,可以在气体、液体和固体中传播,换句话说,超声波可以在具有弹性特性的任何介质中传播。随着声源、介质和边界条件等情况的不同,所传播的超声波的波型 也不同,例如有纵波、横波、表面波、板波等,从波前的形状来区分,又有平面波、球面波、柱面波等。这里仅介绍几种最常遇到的波型和声速。

①纵波。超声波在介质中传播时,介质质点振动方向与波传播方向相平行的波称为纵波。在纵波通过的区域内,介质质点发生周期性的稀疏和稠密,如图2-3所示。纵波可以在气体、液体和固体介质中传播。

 1图2-3 纵波

2-3   纵波


纵波在不同介质中传播的速度不同,在气体中速度为

2

00.

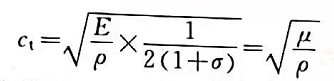
在无限介质中横波传播的速度为

 8

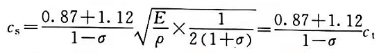
③表面波。当声波在介质中传播时,能量集中在介质自由表面层或两种界质分界面附近的声波称为表面波。这种波的类型较多,例如在固体表面的瑞利波,在两种固体分界面附近的斯顿莱波等。表面波传播时,介质质点振动的轨迹为椭圆形,椭圆的长轴垂直于声波的传播方向,短轴平行于声波的传播方向,如图2-5 所示。

9

当声波沿固体的自由表面传播时,质点位移的振幅随离开表面的深度按指数衰减,大部分能量集中在大约一个波长的深度内。表面波的声速为

10

值得注意的是,在固体中声速并非永远都是一个常数值,而是随所施的振动强度而变 的。变化的原因是由于在高应力情况下,材料的弹性特性的数值发生了改变。

在结晶材料中,弹性特性是沿着不同的轴线而变化的,因此声速在不同的传播方向上具 有不同的数值。在石英和其他压电材料中,这种声速的变化更为重要,因为它们的压电特性 被用作高频振动源。

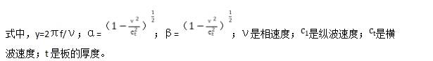
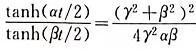
④板波。当声波在板状介质中传播时,其波型称为板波。板波的类型有多种,其中主 要的一种是兰姆(Lamb)波。通常所说的板波即是指兰姆波而言,它是在板的厚度可与其 中声波波长相比拟的板中传播的一种弹性波,其声场遍及整个板的厚度。在板波传播的过程 中,质点振动情况是:在固体的两个表面上,质点沿椭圆轨迹振动,与瑞利波相同;在板的 内部,质点振动因波型的不同而异,当波型为对称型时,质点振动的轨迹与纵波相同;当波 型为反对称型时,与横波相似,如图 2-6所示。

板波传播的相速度0可由下列超越方程确定。

对称型

11

反对称型

12

00.1

2)超声加度

当超声波在介质中传播时,介质的质点却是在它的平衡位置做振动,任一瞬时振动的速度就称为该时刻的质点速度。假定有一列平面声波在均匀介质中沿x方向传播,其波动方程为

00.2

 

从消费电子微型焊点到新能源汽车电池封装,灵科超声波已为全球超过 100,000客户提供波形与声速的 黄金组合方案。我们的工程师团队提供从材料测试、工艺开发到设备运维的全链路支持,让您无需深究复杂公式,即可坐享超声科技红利。

以波为媒,以速为尺——灵科超声波,让每一道声纹皆成品质宣言!

【相关推荐】

咨询热线

13612231694