一品楼qm论坛最新活动,深圳罗湖qm论坛紫兰轩论坛北京验证,一品楼品凤楼论坛官网,甘肃凤楼论坛最新消息新闻

灵科

全国服务热线

13612231694
塑料点焊的工艺流程

塑料点焊的工艺流程

塑料点焊是一种特殊的点焊方式,通常用于连接各种塑料制件,如汽车前后保险杠、车灯镜等。以下是塑料点焊的典型工艺流程:灵科超声波点焊机①选材:通常使用熔体指数相同或…
塑料焊接原理

塑料焊接原理

超声波焊接原理塑料加工中所用的超声波,现有的几种工作频率有15KHZ,18KHZ,20KHZ,40KHZ。其原理是利用纵波的波峰位传递振幅到塑料件的缝隙,在加压…
颗粒增强型塑料的超声波衰减(三)

颗粒增强型塑料的超声波衰减(三)

和的相应变量可通过独立散射模型的微分来计算:式中,和分别是纵波和横波传播过程中的散射横截面,导致声波散射的粒子均匀地分布于被测样品中。当研究纵波衰减时,可以应用…
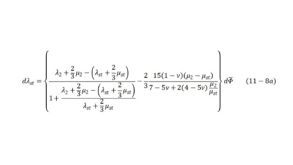
颗粒增强型塑料的超声波衰减(二)

颗粒增强型塑料的超声波衰减(二)

此处给出的公式与Beltzer和Brauer、Biwa等人针对纤维复合材料提出的公式类似。尽管按照颗粒(浓度)的允许范围,很难来评价微分法的有效性,但是该模型已…
塑料焊接在汽车行业中的应用

塑料焊接在汽车行业中的应用

现代汽车工业中,塑料焊接技术在汽车工艺中的应用不可或缺,企业的塑料焊接技术水平是衡量其汽车开发与生产水平的重要指标之一。在汽车工业中,通常有塑料焊接工艺,下面就…