一品楼qm论坛最新活动,深圳罗湖qm论坛紫兰轩论坛北京验证,一品楼品凤楼论坛官网,甘肃凤楼论坛最新消息新闻

灵科

量化

返回列表 来源: 发布日期: 2022.11.16

模拟信号采样后得到的离散信号不是数字信号,为了让计算机能够接受,还必须对其进行量化处理。量化过程是将被测信号的变化范围划分成若干区间,每个区间都用同一个整量化数字来代替,如图3-3所示 。其实质是用一个共同的单位对每个采样值进行整量化,以便进行数字编码,得到数值输出。量化中所用的共同单位称为量化单位,用q来表示。


               


显然,只有那些正好位于区间量化端点的离散值,才能被精确地转换成数字值,而那些位于区间内的离散值,则只能用舍入的办法,归算到最接近的量化电平上。因此,量化过程也可以说是用近似值表示信号精确值的过程。由此产生的误差称为量化误差,最大的量化误差值为±q/2。若将尾数作舍入处理,则


 珠海超声波


当q为定值时,K则代表x(n?t)的连续值转换成数字量化的数值。q越小,量化误差的最大值也就越小。实际上A/D转换器的K是以二进制码的形成输出的。对一定的信号幅值来说,若q过小,则K值过大,要求二进制码的位数就长,而A/D转换器位数有限。实际应用中通常先固定输入A/D转换器的模拟量的最高峰值,然后再根据转换器的位数来决定q值大小。


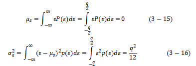
对于理想的转换过程,量化误差具有均匀的概率分布,即


珠海超声波 


则均值与方差为


珠海超声波


误差的标准差为


 珠海超声波


一般说来,量化误差与信号获取和处理过程中的其他误差相比是可以忽略的。但分析信号时应适当对信号作调整,使样本段上的峰值尽可能接近转换器的最高输入电平,以提高分析时的信噪比;另外,应使连续信号的范围尽可能占满可用的量化范围。



灵科超声波坚持自主研发,最大力度投入研发设计,拥有一支近30年的研发制造团队,发明创造170余项专利新技术。主要品牌有LINGGAO灵高、LINGKE灵科、SHENGFENG声峰等。广泛运用在医疗器械、电子器材、 打印耗材、塑料、无纺布、包装、汽配等多个领域,为海内外各行业、企业提供了大量稳定性强的优质超声波塑焊设备应用方案 。

【相关推荐】

咨询热线

13612231694