一品楼qm论坛最新活动,深圳罗湖qm论坛紫兰轩论坛北京验证,一品楼品凤楼论坛官网,甘肃凤楼论坛最新消息新闻

灵科

超声波声场及其测量

返回列表 来源: 发布日期: 2023.06.12

总说

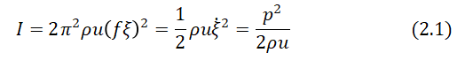
试着考虑向z方向前进的平行平面声波。声波强度I用单位时间内通过的能量表示垂直于声音前进方向的单位面积,由下式给出。


 灵科超声波


其中,11和u分别是媒质密度和音速,pu是比声阻抗。12 是媒质位移振幅,12是速度振幅,p是压力振幅。声场的能量密度E


 灵科超声波


一般来说,介质吸收声音的能量,声波衰减。将平行平面波的压力振幅p


 灵科超声波

 

总之,a称为(单位长度的)吸收系数。另外


 灵科超声波


称为单位波长的吸收系数。从强度来看,


 灵科超声波


变成了。有时也用db/(长度)表示吸收,但这是


灵科超声波 


平行平面声波在z方向上的压力的瞬时值p


 灵科超声波


把音速看作复数来计算u*,


 灵科超声波


当αλ比1小时,


 灵科超声波


αλ/π称为损失系数'(lossfactor) *,另外,设振动能量每周期损失的比率为213 ,则13是对数衰减率,13等于波动时的α λ 。

第3表列出了2,3个代表性物质的声学性质。这只是表示大致的倾向,细节留待下一章。


以上就是汕头灵科超声波为大家介绍的相关信息,如果大家对焊接设备需要更深一步的了解,欢迎致电公司电话:0756-8626887,或者打开公司官网:http://www.90847.cn/ ,我们很乐意为大家服务!                  



灵科超声波坚持自主研发,最大力度投入研发设计,拥有一支近30年的研发制造团队,发明创造170余项专利新技术。主要品牌有LINGGAO灵高、LINGKE灵科、SHENGFENG声峰等。广泛运用在医疗器械、电子器材、打印耗材、塑料、无纺布、包装、汽配等多个领域,为海内外各行业、企业提供了大量稳定性强的优质超声波塑焊设备应用方案

【相关推荐】

咨询热线

13612231694