一品楼qm论坛最新活动,深圳罗湖qm论坛紫兰轩论坛北京验证,一品楼品凤楼论坛官网,甘肃凤楼论坛最新消息新闻

珠海灵科自动化科技有限公司

中文English

超声波焊接原理
傅里叶变换与快速傅里叶变换

任何形状的信号都可以视作无限个不同频率的正弦交变信号的叠加,在数学上用傅里叶序列来表述。假设有一周期信号x(t),其周期为T,那么它的傅里叶序列为


 17


式中,a0、an、bn为傅里叶系数;为各次谐波的频率。常规的超声检测信号一般可认为是有限时间的瞬态信号,而对于某一瞬时态信号x(t),可设定其周期T趋向于无穷大,这时序列可以写作:


 02


这里傅里叶系数变为连续的频率函数:


 03


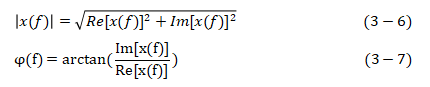
式(3-5)即是著名的傅里叶变换,式(3-4)是傅里叶反变换,其中f代表频率,x(f)为一复函数,其幅-频和相-频关系为


 04

 

在超声检测中,幅-频关系表示的是超声回波信号声压随频率变换的关系,而相-频关系则表示的是被检测材料对不同频率超声波的滞后效应。


如果将信号x(t)经A/D采样变成数字信号序列x(n),则对照式(3-5)可得出其离散傅里叶变换( Discrete Fourier Transform,简称DFT):

 

 05


式中,n、k为序列号; N为数字信号序列的点数。


为了减少运算次数,缩短运算时间,1965 年诞生了一种计算DFT的新方法,称为FFT算法。由式(3-8)可知,用标准的DFT法计算所有的Y(k)时,对于N个Y(k)中的每一个,必须作06 的N次复数乘加运算,则运算整个序列需要的总运算量为N2次复数乘加运算。由于一次复数乘加等于四次实数乘加,因此,对于大的N值,运算工作量将是相当大的。


FFT是把整个序列分解成若干较短的序列作DFT计算,用以代替计算原始序列的DFT。只要计算出较短序列的DFT,然后通过巧妙的办法把它们合并起来,就可得到整个序列的DFT。由于FFT使傅里叶变换的运算速度提高了两个数量级,从而带动数字信号处理方法在振动、声学及若干领域获得普遍应用。


FFT的实现方式有三种,即通过通用计算机加FFT软件、专用硬件或数字信号处理器(DSP)加软件来实现。


用软件在通用计算机上实现FFT具有通用性强、额外投资少等优点,缺点是运算速度慢。硬件FFT指的是用乘法累加器实现蝶形运算,用控制电路实现对FFT运算的控制(如循环等)。其优点是运算速度快,但缺乏通用性。目前多用于对实时性要求较高的水声、雷达等专业领城。借助数字信号处理器(DSP)以及汇编语言实现FFT运算,是一种软、硬件相结合的信号处理方式,不仅速度快,而且通用性好,目前成为振动、声学等领城中信导处理的主要工具。



灵科超声波坚持自主研发,最大力度投入研发设计,拥有一支近30年的研发制造团队,发明创造170余项专利新技术。主要品牌有LINGGAO灵高、LINGKE灵科、SHENGFENG声峰等。广泛运用在医疗器械、电子器材、 打印耗材、塑料、无纺布、包装、汽配等多个领域,为海内外各行业、企业提供了大量稳定性强的优质超声波塑焊设备应用方案。

返回
列表
上一条

阳江超声波在无绳电话有什么应用?灵科超声波告诉你

下一条

化妆盒包装有什么技巧?灵科超声波来讲一下