总说
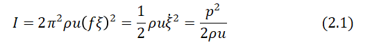
试着考虑向z方向前进的平行平面声波。声波强度I用单位时间内通过的能量表示垂直于声音前进方向的单位面积,由下式给出。
其中,
和u分别是媒质密度和音速,pu是比声阻抗。
是媒质位移振幅,
是速度振幅,p是压力振幅。声场的能量密度E
一般来说,介质吸收声音的能量,声波衰减。将平行平面波的压力振幅p
总之,a称为(单位长度的)吸收系数。另外
称为单位波长的吸收系数。从强度来看,
变成了。有时也用db/(长度)表示吸收,但这是
平行平面声波在z方向上的压力的瞬时值p
把音速看作复数来计算u*,
当αλ比1小时,
将αλ/π称为损失系数'(lossfactor) *,另外,设振动能量每周期损失的比率为2
,则
是对数衰减率,
等于波动时的α λ 。
第3表列出了2,3个代表性物质的声学性质。这只是表示大致的倾向,细节留待下一章。
灵科超声波坚持自主研发,最大力度投入研发设计,拥有一支近30年的研发制造团队,发明创造170余项专利新技术。主要品牌有LINGGAO灵高、LINGKE灵科、SHENGFENG声峰等。广泛运用在医疗器械、电子器材、打印耗材、塑料、无纺布、包装、汽配等多个领域,为海内外各行业、企业提供了大量稳定性强的优质超声波塑焊设备及应用方案。