电磁振动子
在音频频率范围内,电磁振动器自古以来就被用于磁扬声器或动态电子束,但在超声波领域开始使用这种振动器的时间并不长,而且现在也没有被广泛使用。
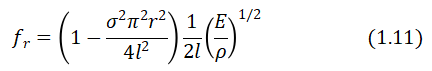
作为可动线圈型振荡器,St.Clair为用于烟道内集座而设计的最著名。这在本质上与动态扬声器是相同的原理,作为振动体,在其共振振动频率中使用支撑中央的圆硬铝圆柱,其共振振动频率fr为
被给予
是长度,r是半径,
是波松比,E是模量,
是密度,Clair时r=7.6cm,
=13cm,所以f是17kc /s。
如图14所示,振动体Z的下部呈圆形突起,充当一台机器的语音线圈,但驱动电流不直接通过该线圈,而是通过环绕中心磁极的固定驱动线圈C流动,从而在驱动环上引起电流。在该电流与磁场的相互作用下,振动体受力。在空气中使用该振荡器时,其谐振相当尖锐,因此驱动振动频率必须精确地与之匹配。
而且随着振动,由于发热等原因,振动体的谐振振动频率会稍有变化,因此必须使振荡电路的振动频率自动跟随振动频率。为此,通过pick up振动体的振动来控制振荡电路。
这种振荡器的等效电路类似于动态扬声器。由于谐振时机械阻抗仅为电阻分rm,因此动阻抗Rm为
B是gap的磁通密度,
是驱动环的长度,n是驱动线圈的机数。为了提高电气效率,Rm必须变大,rm必须变小。rm的内容是中必部分支承产生的电阻,振动体的内摩擦和宽度射电阻,重要的是减少支承部分的电阻。
在St.Clair的装置中,n=3.2Ω,B=12500 gauss,共振时(空气中)气味Rm=7.37Ω,制动电阻r0=44.7,机电转换效率69.5%,机械声学转换效率43.0%,整体效率30%。
磁致伸缩振荡器和动圈式振荡器的驱动电源有时不是真空管振荡器,而是交流发电机。
以上就是东莞灵科超声波为大家介绍关于超声波焊接机的相关信息,如果大家对焊接设备需要更深一步的了解,欢迎致电公司电话:0756-8626887,或者打开公司官网:http://www.90847.cn/,我们很乐意为大家服务!
灵科超声波坚持自主研发,最大力度投入研发设计,拥有一支近30年的研发制造团队,发明创造170余项专利新技术。主要品牌有LINGGAO灵高、LINGKE灵科、SHENGFENG声峰等。广泛运用在医疗器械、电子器材、打印耗材、塑料、无纺布、包装、汽配等多个领域,为海内外各行业、企业提供了大量稳定性强的优质超声波塑焊设备及应用方案。